Définition
Fonction d'une variable
Définition :
Soit \(l\in\Bbb R\)
On dit que \(f\) a pour limite \(l\) en \(x_0\) si $$\forall\epsilon\gt 0,\exists \delta_\epsilon \gt 0 \text{ tq }\forall x\in I,\lvert x-x_0\rvert\lt \delta_\epsilon\Longrightarrow\lvert f(x)-f(x_0)\rvert \lt \epsilon$$
Notation : \(\underset{x\to x_0}\lim f(x)=l\)
Fonction de plusieurs variables
Définition :
Soit \(f:E\subset{\Bbb R}^n\to{\Bbb R}\) une fonction définie au voisinage de \(x_0\in{\Bbb R}^n\), sauf peut-être en \(x_0\)
On dit que \(f\) a pour limite \(\ell\in\bar{{\Bbb R}}\) en \(x_0\) si et seulement si $$\forall\varepsilon\gt 0,\exists\delta\in E,\forall x\in E,\quad\lVert x-x_0\rVert\leqslant\delta\implies\lvert f(x)-\ell\rvert\leqslant\varepsilon$$
On note : $$\displaystyle{\lim_{x\to x_0} } f(x)=\ell\quad\text{ ou }\quad f(x)\underset{x\to x_0}\longrightarrow\ell$$
(
Voisinage,
R-barre)
Notions liées
Limite infinie en un pointLimite en l'infiniLimite à gauche - Limite à droite
Domaines
Fonction,
Fonction de plusieurs variablesSuite réelleSérie numérique
Opérations et théorèmes
Unicité de la limiteOpérations sur les limitesFormes indéterminéesComparaisons de limitesThéorème de comparaisonThéorème des gendarmes - Théorème de l'encadrementLimiteCroissances comparéesCritère de CauchyLimite d'une fonction composéeLimite le long d'un cheminLimite en base polaire
$${{\underset{n\to+\infty}{\operatorname{lim} }(a_n-b_n)=0}}\iff{{\underset{n\to+\infty}{\operatorname{lim} } a_n=\underset{n\to+\infty}{\operatorname{lim} } b_n}}$$
$${{u_n\lt a}}\implies{{\underset{n\to+\infty}{\operatorname{lim} } u_n\leqslant a}}{\operatorname{lim} }}}$$
$${{u_n\leqslant a}}\implies{{\underset{n\to+\infty}{\operatorname{lim} } u_n\leqslant a}}{\operatorname{lim} }}}$$
Exemples
Calculs de limite en utilisant des DL
(
Développement limité)
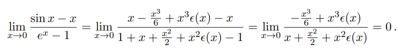
Exemples : ^[calculer $$\lim_{h\to0}\frac{\sin x-x}{e^x-1}$$

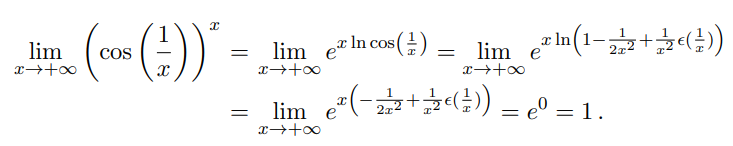
] ^[calculer $$\lim_{x\to+\infty}\left(\cos\left(\frac1x\right)\right)^x$$

]
Calcul de limite pour une fonction de plusieurs variables
Exercices
Caractérisation séquentielle de la limite : $${{\lim_{x\to x_0}f(x)=\ell}}\iff{{\left(\forall(u_n)_{n\geqslant0}\subset]a,b[\setminus\{x_0\},u_n\underset{n\to+\infty}\longrightarrow x_0\implies f(u_n)\underset{n\to+\infty}\longrightarrow\ell\right)}}$$
Démonstration : ^[$$
\beginalign&\textsupposons que f(x)\undersetn\to x
0\longrightarrow\ell\\ &\textsoit (un)
n\in\Bbb N\subset]a,b[\setminus\x0\,u
n\undersetn\to+\infty\longrightarrow x0\\ &\texton doit montrer que f(u
n)\undersetn\to+\infty\longrightarrow\ell\\ &\textsoit \varepsilon>0\text. On cherche N\in\Bbb N\text tel que :\\ &n\geqslant N\implies\lvert f(un)-\ell\rvert<\varepsilon\\ &\textcomme f(x)\undersetn\to x
0\longrightarrow\ell,\exists\delta>0\text tel que : \\ &\begincases0<\lvert x-x0\rvert<\delta\\ x\in]a,b[\endcases\implies\lvert f(x)-\ell\rvert<\varepsilon\\ &\textcomme u
n\undersetn\to+\infty\longrightarrow x0:\exists N\in\Bbb N\text tel que n\geqslant N\implies\lvert u
n-x0\rvert<\delta\\ &\implies\lvert f(u
n)-\ell\rvert<\varepsilon\\ \\ &\textmontrons maintenant la réciproque :\\ &\textsupposons pour toute suite (un)
n\in\Bbb N\subset]a,b[,un\neq x
0,n\geqslant0,\\ &un\undersetn\to+\infty\longrightarrow x
0\implies f(un)\undersetn\to+\infty\longrightarrow\ell\\ &\textmontrons que f(x)\undersetn\to+\infty\longrightarrow\ell\implies\forall\varepsilon>0,\exists\delta>0:\\ &\begincases0<\lvert x-x
0\rvert<\delta\\ x\in]a,b[\endcases\implies\lvert f(x)-\ell\rvert<\varepsilon\\ &\texton raisonne par l'absurde, on suppose \lnot P:\\ &\exists\varepsilon>0,\forall\delta>0,\exists x\in]a,b[,0<\lvert x-x0\rvert<\delta\text et \lvert f(x)-\ell\rvert\geqslant\varepsilon\\ &\texton applique ce qui précède à \delta=\frac1n,n\geqslant1\\ &\forall n\geqslant1,\exists x
n\in]a,b[,0,\lvert xn-x
0\rvert<\frac1n\text et \lvert f(un)-\ell\rvert\geqslant\varepsilon\\ &\textpar le théorème
des gendarmes, x
n\undersetn\to+\infty\longrightarrow x0\\ &\text et de plus, x
n\in]a,b[\setminus\x0\,n\geqslant1\\ &\textet comme \lvert f(x
n)-\ell\rvert\geqslant\varepsilon,\forall n\geqslant1,f(xn)\undersetn\to+\infty\cancel\longrightarrow \ell\\ &\textil y a une contradiction\\ &\qquad\qquad\qquad\qquad\qquad\qquad\qquad\qquad\qquad\qquad\qquad\qquad\qquad\qquad\qquad\qquad\square\endalign$$]
Limite à gauche - Limite à droite