Convolution de \(f*g\)
Fonction qui renvoie l'aire sous la courbe du produit des deux fonctions, lorsqu'on retourne la deuxième et qu'on la
translate par \(x\) : $$f*g(x):=\int_{{\Bbb R}^d}f(h)g(x-h)\,dh$$
- bien définie si \(f\in L^1({\Bbb R}^d)\) \(g\in L^p({\Bbb R}^d)\), avec \(p\in[1,+\infty]\)
- on a alors \(\lVert f*g\rVert_1\) \(\leqslant\lVert f\rVert_1\lVert g\rVert_p\)
- dérivation : si \(g\) \(\in\mathcal C^k_c({\Bbb R}^d)\), alors \(\partial_\alpha(f*g)=\) \(f*\partial_\alpha g\) \(\forall\alpha\in{\Bbb N}^d\) tel que \(\lvert\alpha\rvert\leqslant k\)
- support : \(\operatorname{supp}(f*g)\) \(\subset\overline{\operatorname{supp}(f)+\operatorname{sup}(g)}\)
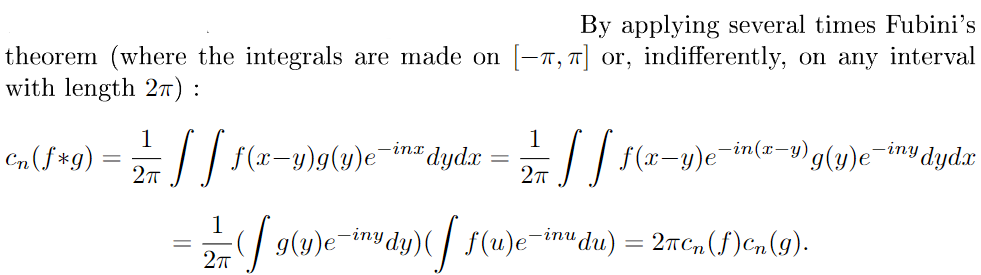
- si \(f,g\in L^2([-\pi,\pi])\), alors \(c_n(f*g)=\) \(2\pi c_n(f)c_n(g)\) et la Série de Fourier de \(f*g\) converge uniformément vers \(f*g\)
Questions de cours
START
Ω Basique (+inversé optionnel)
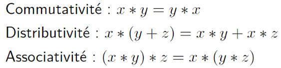
Recto: Justifier l'appellation "
produit de convolution".
Verso: On a trois propriétés :

Bonus:
Carte inversée ?:
END
START
Ω Basique (+inversé optionnel)
Recto: Explique pourquoi la formule \(c_n(f*g)=2\pi c_n(f)c_n(g)\) explique l'effet régularisant de la convolution.
Verso: Les coefficients de haute fréquence de \(f*g\) tendent plus vite vers \(0\) lorsque \(n\to+\infty\), puisque ceux de \(c_n(f)\) et \(c_n(g)\) tendent vers \(0\) lorsque \(n\to+\infty\).
Bonus:
Carte inversée ?:
END
START
Ω Basique (+inversé optionnel)
Recto: Quel genre d'opérateur \(T\) peut être écrit comme une convolution ?
Verso: Tout opérateur linéaire, continu et invariant par translation \(T\) peut être exprimé de cette manière.
Bonus: I.e. \(Tu=g*u\) pour un certain noyau \(g\).
Théorème de Riesz-Fréchet
Carte inversée ?: y
END
Exercices